半岛官网登陆入口
简介
诚信通

全国服务热线:4008-168-880

技术咨询:13714053430 (微信同号)

联系我们

联系电话:4008-168-880

深圳总部销售客服:13714053430

深圳总部传真:0755-89501950

深圳总部售后:13714053430

网 址:www.availege.com

E-mail:tflaser@tflaser.com

在线QQ:4008168880

MSN:tf.laser@hotmail.com

skype:tflaser1


光纤模式与模式色散

信息来源:本站 日期:2018-12-12 

0

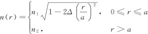
       如图所示,一般来说,光纤大致分阶跃折射率分布光纤和渐变折射率分布光纤。阶跃折射率光纤又根据纤芯的大小分单模光纤和阶跃折射率多模光纤[6],如图3(a)和(b)所示。渐变折射率分布光纤也是多模的,如果将折射率分布做成如公式(4)的抛物线分布,则光线在其中可以周期性地聚焦,这种光纤也叫自聚焦光纤。500w光纤激光焊接机

500w光纤激光焊接机

图(a) 阶跃折射率分布多模光纤; (b) 阶跃折射率单模光纤; (c) 渐变折射率分布多模光纤


       其中,a是纤芯的半径是相对折射率差,一般来说,Δ≈0.01?1。


      所谓光纤模式是光纤中能够存在的稳定光场形态。如果用几何光学来描述光纤模式,可以粗略地用纤芯中不同角度全反射的不同光线来表示。如图4(a)所示,接近临界角θc入射的光线表示最高阶模式,入射角大一些的光线代表低阶模式,沿轴线传播的光线代表基模。500w光纤激光焊接机

500w光纤激光焊接机

(a) 光纤模式色散示意图; (b) 模式色散导致的误码


      一个光脉冲从光纤左端射入,由于不同模式光线沿轴线方向的传播速度不同,造成在不同模式中的光脉冲到达光纤右端的时间不同,最后合成的光脉冲将是一个展宽的脉冲,这就是光纤中的模式色散现象。模式色散会导致光纤通信产生误码,如图4(b)所示,假设待传输的码流是“110101”,有光脉冲时记为“1”码,没有光脉冲时记为“0”码。如果模式色散造成光脉冲展宽,展宽到一定程度,“0”码处也有光功率,极易判断为“1”码,这就是误码。500w光纤激光焊接机


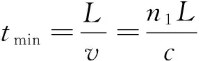
      对于阶跃折射率分布光纤,其最大模式(接近临界角θc的光线)传输L距离所需时间为

500w光纤激光焊接机

      基模传输L距离所需时间为

      模式色散定义为光传输单位距离产生的最大时间差(也叫时延差)为

500w光纤激光焊接机

      将阶跃折射率多模光纤的典型数值代入公式(7),n1=1.500,n2=1.489,则Δ≈0.011,模式色散Δτ=55ns/km。如果对应于某传输码率,传输信号的比特周期至少要求与模式色散相当,则传输20km,传输码率被限制在1Mbit/s以下,这是一个非常低的传输容量,因此阶跃折射率多模光纤不适合目前要求的高速率光纤通信系统。500w光纤激光焊接机

500w光纤激光焊接机

版权所有 半岛官网登陆入口 粤ICP备12059204号   

公网安备

粤公网安备 44030902000822号

网站地图   |    在线留言